Tällä kertaa tulee vähän kepeämpi ja lyhyempi raakaruokintamyytti. Kuten otsikosta voi päätellä, tänään käsitellään väitettä siitä, että raakaruokinta on niin vaikeaa että se on ydinfysiikkaa.
Otetaan kolme raakaruokintaskenaariota: skenaario 1, jossa ruokkija ei halua laskea yhtään vaan luottaa täysin muiden neuvoihin (jossa ei ole tietenkään mitään vikaa); skenaario 2, jossa ruokkija haluaa päästä helpolla mutta ei kehtaa kysyä suoraan, jonka takia hän seuraa valmista ruokintamallia; ja skenaario 3, jossa ruokkija haluaa laskea kaiken itse.
Skenaariossa 2 napataan valmis ohje vaikka tästä blogista tai Pikkupedoista. Oman ohjeeni ollessa kyseessä monimutkaisimmat laskut ovat tälläisiä: ohjeessa näkyvä määrä kerrottuna kissan painolla kiloissa. Jos halutaan esittää kaava matemaattisesti, se voidaan tehdä näin:
![]() |
| Jossa T=kissan tarve, n=ohjeessa mainittu määrä ja m=kissan paino kiloissa. |
Skenaariossa 3 halutaan laskea kaikki itse. Otetaan esimerkiksi vaikka A-vitamiini, ja ajatellaan että skenaarion 3 raakaruokkija haluaa selvittää, miten paljon broilerinmaksaa hänen täytyy antaa nelikiloiselle kissalle jotta tarve tulee tyydytetyksi. Skenaarion 3 ruokkija tietää, että A-vitamiinia olisi hyvä saada noin 100 µg/painokilo. Tutulla kaavalla saadaan selville A-vitamiinin tarve 4 kg kissalle: ohjeen määrä kerrottuna painokiloilla, eli M=n*m = 100 µg/kg*4 kg = 400 µg (jossa uusi M on kissan tarvitsema ravintoaineen, tässä tapauksessa A-vitamiinin, määrä). Tämä ei kuitenkaan riitä, vaan täytyy myös tietää miten paljon 400 µg tekee maksana. Finelin mukaan broilerinmaksassa on noin 9747 µg A-vitamiinia sadassa grammassa. Kun halutaan tietää miten paljon maksaa tarvitaan, jaetaan kissan tarvitsema määrä sadassa grammassa olevalla määrällä ja kerrotaan osamäärä sadalla. Siis matemaattisesti esitettynä:
![]() |
| Jossa T=kissan tarve, M=kissan tarvitsema ravintoaineen määrä ja S=ravintoaineen määrä sadassa grammassa. |
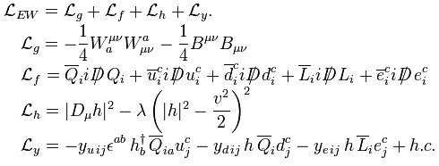
Verrataan tätä sitten ydinfysiikkaan. En valitettavasti tiedä aiheesta kovin paljoa, mutta etsiessäni tietoa törmäsin ydinfysiikan kaavoihin. Tässä olisi ydinfysiikan sähköheikon vuorovaikutuksen kaava:
![]() |
| Lähde: Wikipedia |
Tiedonhaun perusteella voidaan todeta että raakaruokinta ei ole ydinfysiikkaa. Vaikeimmillaankin raakaruokinta vaatii sen että on läpäissyt peruskoulun, ja jos jotakin ei osaa itse laskea, siihen voi aina pyytää apua. Raakaruokinta on tietysti haastavampaa kuin sopivan ruokamäärän annostelu valmiista ruokapakkauksesta, mutta kyllä itse väittäisin että se ei vaadi ihan niin paljon perehtymistä kuin ydinfysiikka.




Onneksi on laskimet!! Ei vaan, hauska postaus! :D Tuota vaikeuttaa hieman myös sekin ettei kaikki(mikään?) sula 100%, joten se on vähän henkilöstä kiinni kuinka paljon uskaltaa antaa esim maksaa tai kalaa viikossa.
VastaaPoistaKiitos! :D No niinpä, sen takia yleensä kaikissa noissa tärkeimmissä suositellaan vähän reilumpaa annostusta. Pieni överi on kuitenkin aina parempi kuin puutos. :)
PoistaSe on aina hyvä välillä muistuttaa näistä raakaruokinnan ja ydinfysiikan eroista, mutta kyllä mulla silti on usein sellainen olo, että jotenkin langat karkaa käsistä ja unohdan kaiken ja tunnen olevani tuolla ydinfysiikan puolella kun yritän miettiä mitä kaikkea tuo otus tarvitseekaan. :D
VastaaPoistaOnneksi iso osa tarvittavista tulee kuitenkin siitä ruuasta eikä niistä niin tarvitse huolehtia! :)
PoistaMä sain pikkupedoilta paaaljon apua kun aloitin raakaruuan, mutta en ole kyllä vitamiinien tarvetta tainnut laskea itse ollenkaan paitsi sinkin. Kalsiumfosfori -suhteen sentään osasin! :) Toivon vaan että oon syöttänyt kissoille kaikki muut lisäravinteet oikein :D
VastaaPoistaEikä nykypäivänä ole oikeasti mitään tarvetta laskea itse tarpeita jos kissalla ei ole mitään erityisruokavaliota, tietoa on niin helposti saatavilla. :)
PoistaMe kuulutaan valitettavasti vielä näihin sekaruokailijoihin. Enkä taida uskaltaa kokonaan raakaan siirtyä vielä hetkeen. Jackson pitäisi vielä saada syömään muutakin kuin kananlihaa. En viitsi laittaa sitä nälkäkuurille, ennen kuin se on saavuttanut normaalin painoluokan. (seliseli:D) Mutta hienoa, kun te jaksatte kirjoittaa tästä raakaruokailusta! Paljon hyvää tietoa täällä sun blogissa, sekä Pikkupetojen blogissa :)
VastaaPoistaKiitos! Pelkällä kanallakin voi ihan hyvin raakailla, mutta tietysti monipuolisuudesta on myös etuja. :)
Poista:D tää oli hauska postaus. Itse lähdin liikkeelle skenaario kolmosella ja huomasin, että käytännössä kakkosella ja ykkösellä olisi tullut ihan yhtä hyvä lopputulos. Kolmosessa menee helposti liiankin hienosäädöksi, kun perfektionismi iskee ja on pakko sitten punnita grammalleen ne maksanpalat ja muut, jotta sitä A-vitamiinia tulee tarpeeksi. Ja sitten kissa jättääkin maksan kokonaan syömättä, aaargh! Vitamiinivajaus iskee..
VastaaPoistaEli joo, ei se oo niin justiisa, jos ruokavaliossa on vähän vaihtelua päivittäin.
Ja sitten lasketaan vielä ihan piruuttaan uudestaan että olisiko sittenkin tämä lisäravinne parempi kuin tuo! :D
PoistaJos tässä vielä joku kerta hyppäisi silmät ummessa skenaario kakkoseen, koska skenaario ykköstä en kehtaa ja skenaario kolmoseen en edes kykene ;)
VastaaPoistaJa kyllä noi lyhyemmätkin kaavat näyttää ydinfysiikalta, täysin lahjattomalle matemaatikolle ;D
Ihan simppeliä kerto- ja jakolaskua ne vaan on. :D Mä suunnittelin jo raakaruokinnan matematiikan työpajaa, saa nähdä toteutuuko sellainen oikeasti! Skenaario kakkonen on hyvin helppo ja kätevä tapa siirtyä raakaruokintaan.
PoistaHuu, mulla sumeni jo silmissä ja pyörryin tuon oikean ydinfysiikkakuvan kohdalla. :-D Mä niin mielelläni syöttäisin kissojani mahdollisimman oikein, mutta on pakko tunnustaa, että olen totaalinen tumpelo kaikessa, mikä vähänkään liippaa matematiikkaa. Lahjani ovat jossain ihan muissa asioissa. Niinpä olen yrittänyt löytää parhaat täysravintomärkäruoat ja antanut lisäksi nyt sitten erilaisia lihoja - eikä mitään kuivaa. Se on tuntunut toimivan, mutta toivottavasti en nyt sitten tuolla osittaisella raakaruoalla sössi mitään. :-I
VastaaPoistaSkenaario kakkonen on esimerkiksi tässä blogissa olevalla perusruokintaohjeella todella helppo! Ruokintaohjeessa on esimerkiksi Möllerin kalanmaksaöljyä 0,5 millilitraa/painokilo päivässä. Jos sun kissat painaa vaikkapa 4 kg, kerrot tuon määrän neljällä. Tuloksena on siis, että kalanmaksaöljyä tarvitaan 2 millilitraa päivässä. Mulle voi myös laittaa sähköpostia (millak.ahola[at]gmail.com) jos haluaa jutella ruokinnasta enemmän! 50/50-mallilla olisi hyvä antaa lisäravinteena ainakin sinkkiä ja D-vitamiinia, joitakin muitakin saattaa tarvita. :)
PoistaYhä tulee hiki viimeisestä kuvasta. :DD Onneksi raakaruokintakaavat on huomattavasti helpompia! :)
VastaaPoistaNo niinpä! :D
Poista